Gram Schmidt Orthonormalization Calculator Calculator Academy View larger
  • Gram schmidt process calculator sales
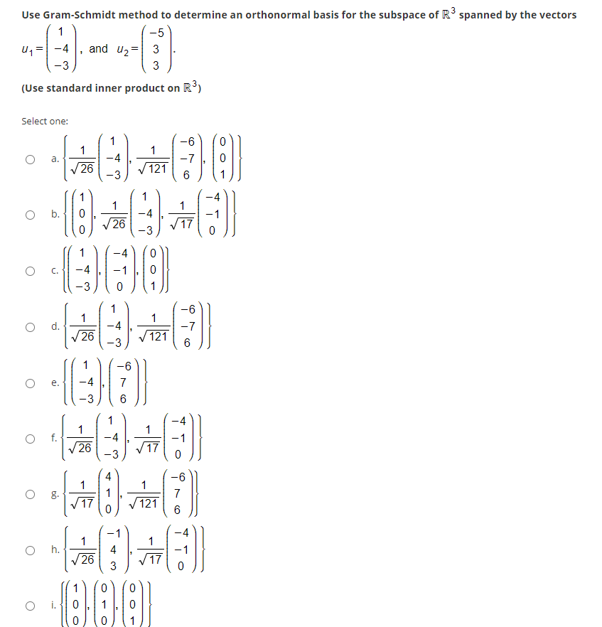
  • Solved Use Gram Schmidt method to determine an orthonormal Chegg
  • Gram schmidt process calculator sales
  • Epsilons no. 4 The Gram Schmidt process
  • Solved For this question you may use an online calculator Chegg

Gram schmidt process calculator sales

Gram schmidt process calculator sales, Gram Schmidt Orthonormalization Calculator Calculator Academy sales

$96.00

SAVE 50% OFF

$48.00

- +

Add to wishlist


Frasers Plus

$0 today, followed by 3 monthly payments of $16.00, interest free. Read More


Gram schmidt process calculator sales

Gram Schmidt Orthonormalization Calculator Calculator Academy

Gram Schmidt example with 3 basis vectors

Solved Use Gram Schmidt method to determine an orthonormal Chegg

Gram Schmidt Orthonormalization Process Audio

Epsilons no. 4 The Gram Schmidt process

Solved For this question you may use an online calculator Chegg

Description

Product code: Gram schmidt process calculator sales
Gram Schmidt Orthogonalization Process Calculator sales, Gram Schmidt Method Orthogonal and Orhonormal Basis Example sales, Gram Schmidt process Wikipedia sales, Gram Schmidt Orthonormalization Process Formula Examples sales, How to Find a basis with the Gram Schmidt process in algebra sales, linear algebra Gram Schmidt procedure Mathematics Stack Exchange sales, Gram Schmidt process sales, Gram Schmidt Calculator and Process Math Terms Solutions sales, linear algebra Gram Schmidt method to get a basis for P 3 sales, Gram Schmidt process sales, Illustration of the Gram Schmidt Process GeoGebra sales, Gram Schmidt process Wikipedia sales, inner products Gram Schmidt algorithm used for obtaining the sales, The Gram Schmidt Process sales, GitHub IChowdhury01 Gram Schmidt Calculator Vector Toolkit A sales, Implementing and visualizing Gram Schmidt orthogonalization ZeroBone sales, Gram Schmidt Orthonormalization Calculator Calculator Academy sales, Gram Schmidt example with 3 basis vectors sales, Solved Use Gram Schmidt method to determine an orthonormal Chegg sales, Gram Schmidt Orthonormalization Process Audio sales, Epsilons no. 4 The Gram Schmidt process sales, Solved For this question you may use an online calculator Chegg sales, GitHub benjiboy50fonz Gram Schmidt Calculator Gram Schmidt sales, 1. Using Gram Schmidt process find a polynomial Chegg sales, Gram Schmidt process Wikipedia sales, Orthonormalizing Polynomial Vectors sales, QUESTION 4 1. Using Gram Schmidt process find a Chegg sales, Gram Schmidt Orthogonalization Process Calculator sales, Gram Schmidt process Wikipedia sales, High order inverse dynamics of serial robots based on projective sales, Gram Schmidt Process GeoGebra sales, Solved Use the Gram Schmidt Process to find an orthogonal basis sales, Pansharpening using The Gram Schmidt method by Rahul Prabhu Medium sales, digital signal processing 2.2 4 Gram Schmidt Procedure sales, Solved Given an arbitrary basis X1 X2 X3 in R3 X1 X2 sales.

Gram schmidt process calculator sales